矿一科技 | 智能化综放工作面建设及应用效果
为实现减人提效,防止、遏制重大灾害事故,我国在煤矿智能化采煤工作面建设已经布局多年。随着 5G、人工智能和大数据技术的发展,工作面智能化采煤设备与工艺已经逐渐完善并日趋成熟。自 2021 年开始,智能化采煤工作面在国家和企业层面上得到大力推广,目前我国应用智能化采煤技术的工作面已经由 2020 年的 200 个增加到 1 000 多个,实现重点岗位机器人作业和固定岗位远程管控,基本实现智能化减人目标,逐步向“一面一人一千万吨”的远景目标迈进。由于我国煤矿众多,且地质条件复杂多变,智能化采煤设备存在适应性不足的问题,需要针对矿井不同的地质条件进行工艺优化。国内外学者在智能化采煤地质保障、全景视频远控等方面开展了诸多研究,并提出基于煤层、采煤装备、决策和控制透明化的智能开采概念,为矿井智能化采煤工作面建设提供了良好的借鉴。但目前的研究主要是针对智能化回采技术、装备的研发和概念的前瞻性研究,缺少对智能化回采实际运行情况和建设规划的分析,因此,在智能化采煤工作面快速推广过程中,有必要对其适应性开展评估,总结成功经验,优化采煤工艺,并逐步形成一个技术体系,指导其他智能化采煤工作面建设。基于此,对大南湖一矿 1308智能化采煤工作面采煤工艺进行分析,对其作业流程和应用效果进行探讨,总结存在的技术难题。
1 工程概况
大南湖一矿隶属于国网能源哈密煤电有限公司,井田南北长约 9.4 km,东西宽约 8 km,面积为 75.28 km2,地质储量为 57.55 亿 t,可采储量为 29.36 亿 t,核定生产能力为 1 000 万 t/a,服务年限为 195 a。1308 智能化采煤工作面位于矿井一水平,采用单一走向长壁后退式采煤法,综采放顶煤工艺,全部垮落法管理顶板。1308 工作面主采 3 号煤层,工作面走向长2 650 m,倾向长 262 m,煤层平均厚 6.6 m,平均埋深 275 m,煤层整体呈单斜构造,平均倾角为 4°。工作面构造复杂程度为中等,煤层赋存在走向和倾向上存在一定变化,掘进揭露断层 18 条,对正常回采存在一定影响。工作面设计胶带运输巷及辅助运输巷,分别用于回风、煤炭运输和进风、运料、行人、设备布置等。1308 工作面是该矿的首个智能化采煤工作面,装备 MG400/920-QWD 型交流变频电牵引采煤机和 ZF10000/20/32 四柱支撑掩护式支架。1308智能化工作面采取“1131”建设模式,具有智能一体化管控平台,形成“万兆”信息化传输通道,构建了多维度、一体化智能安全监控系统,打造了“4G +WiFi 6+机器人”无人值守巡检模式,基本实现工作面常态化自动生产。
2 1308 工作面智能化建设方案及采煤工艺
对 1308 工作面实际情况进行分析,对转载机、刮板输送机和带式输送机的智能调速方案进行研究;按照智能采煤机记忆截割和自移支架工作情况,完善采煤工艺;整体实现远程控制、记忆截割,以及支架跟机自移、智能调速和自动供液功能,根据运行中存在的问题对智能设备进行了优化,确保系统稳定。
2.1 智能变频调速方案
为降低智能化采煤电能消耗,就要对转载机、刮板输送机开展联动变频调速。本次共设计了 3 种控制方案,在对运转效率、吨煤能耗进行比较后,确定最佳方案。
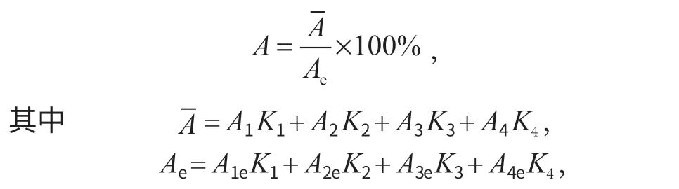
对刮板输送机运行速度起控制作用的主要因素为采煤机位置、运行速度、电流,刮板输送机电流和实时煤流量等,将其确定为评判参数,根据现场实际情况,确定相应的权值。首先计算刮板输送机评判指标
式中: 为刮板输送机评判指标 A 的均值;Ae 为最大值;A1~ A4 分别为采煤机的速度、位置、电流、刮板输送机电流;K1~ K4 为 A1~ A4 对应的权重,分别取 0.22、0.13、0.26、0.39;A1e~ A4e 分别为采煤机最大牵引速度、支架数量、采煤机额定电流、刮板输送机额定电流。
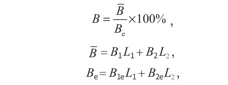
同理,计算转载机评判指标
式中:为转载机指标 B 均值;Be 为最大值;B1、B2分别为转载机转矩、实时煤量;B1e、B2e 分别为最大转矩、最大煤量;L1、L2 为 B1、B2 的权重,分别取0.6、0.4。
评判指标与刮板输送机、转载机电动机对应转速关系如表 1 所列。
表1 评判指标与对应转速关系
方案 1:按照评判指标变化情况,分别开展刮板输送机和转载机的变频调速。因为转载机实际运行期间速度调整具有一定的延迟,会造成原煤堆积的情况,对正常生产存在一定影响。
方案 2:按照评判指标变化情况,仅对刮板输送机开展变频调速。转载机高速运行,避免过载停机的情况,但转载机无法根据生产情况进行实时调速。
方案 3:按照评判指标变化情况,开展刮板输送机和转载机联动调速,同时对比两者的速度,当前者速度小于后者,转载机按照刮板输送机速度运行;当前者速度大于后者,则速度不变。避免了过载停机的同时也实现了联动调速。
对 3 种方案开展生产试验,分别取得周吨煤能耗数据,结果如表 2 所列。由表 2 可知,方案 1 和方案2 的能耗基本相同,相比定速运行能耗下降 9.64%;方案 3 的能耗比定速运行下降 13.65%,相比方案 2下降 4.43%,具有良好的节能降耗效果。
表2 周吨煤能耗统计
根据试验结论,方案 3 杜绝了过载停机,在不影响正常生产的情况下实现联动调速,避免刮板输送机在空载和轻载状态下高速运行,节能降耗效果显著,为试验最佳方案。配合张紧器和变频启动,减轻了输送机各运动部件的磨损情况,增加了使用寿命。根据方案 3 实际应用情况统计,在正常生产情况下刮板输送机、转载机的链轮磨损下降超过 50%;在高强度生产下,可减少断链事故的发生,预计能够增加煤炭产量约 6 万 t,经济效益显著。
2.2 采煤工艺评价
智能化采煤的核心目标之一是减人增效,所以,在保证施工质量并满足回采作业正常进行的同时,要尽可能减少人工。本次以工程质量、人工投入为指标,各设 50 分,对各采煤工艺开展评价优化。由于不同的放煤工艺有可能对上述评价产生影响,经现场勘察对比,决定开展采放平行作业,采用多轮、间隔、顺序、等量的放煤方式,以减少干扰。
由于采煤作业生产条件和地点的不同会导致管理难度差异,所以参照管理难度系数进行评价。工程质量得分=(工程验收得分+现场印象分-工程质量扣分-其他扣分)×管理难度系数。工程验收得分主要包含顶板管理得分和采面质量管控分,两者分别占 60%和 40%;现场印象分为考核组对采面质量的整体印象得分;管理难度系数主要取决于回采倾角、涌水量、构造发育情况、煤层厚度变化情况、顶底板岩性及破碎程度、是否接近采空区和其他隐蔽致灾因素等。
人员投入主要是采煤机司机和支架工,计算公式为:人员投入得分=数量得分×作业时长得分。记忆截割+自移支架期间人员最少,仅需 1 人,分值为 100 分;全部采用手动作业人员最多,为 5 人,分值为 20 分;2、3、4 人时,分别得 80、60、40 分。作业时长以小时为单位,总设计时长 8 h,总分为 8分,每增加 1 h 扣 1 分。试验总分最后按照 50 分进行折算。
试验开始后,首先人工割煤 2 刀,形成截割记忆数据,用时 1.5 h,后续试验时长 6.5 h,采用不同的时间长度组合。在出现机械故障和其他情况影响时,将影响扣除并折算分值。每种不同组合开展试验 5次,然后计算平均值。
在对试验情况进行分析后可知,试验时间全部采用人工割煤时,综合评价得分为 71.33 分;全部采用记忆截割时,综合评价得分为 73.61 分;而采用人工割煤 1.5 h 后,使用自移支架 5 h,最后由人工割煤 1.5 h 的工艺流程时,所获综合评价得分最高,为82.87 分。采用这种人工割煤+记忆截割+自移支架的采煤工艺能够确保工程质量的同时减少人员投入,为最优方案。
当割三角煤时,流程如图 1 所示。1~ 29 为支架号,“下 1”代表首次截割为下行采煤,回采方向为机尾至机头;“上 2”表示第 2 个工序为上行,回采方向为机头向机尾,依次类推。1 个循环的三角煤截割工艺可分成 9 段。
图1 三角煤截割工艺流程
在回采过程中突然遇到紧密褶皱或断层构造时,智能控制系统由于记忆截割而无法提前拉架,这种情况下,在构造影响范围内需要人工拉超前架、其他区域可以采用自移支架。人工拉超前架后,要对前移支架进行及时闭锁,避免自动跟机时支架再次出现抬底、降柱等动作,还需要对程序进行设定以保证液压支架正常自动跟机,防止顶板岩层产生二次破坏。
2.3 设备改造
1308 智能综采工作面运行过程中,采煤机、液压支架和液压系统等在适应性、稳定性和安全性等方面出现一定程度的不足,需要进行额外的人工干预才能保证工作面顺利运行。为了解决这些问题,需要对综采设备进行相应的优化。
(1) 采煤机 加高采煤机的拖缆设施和破碎机液压缸锁的防护装置,加固位置传感器防护装置,采煤机、破碎机内循环管路和水路防护装置优化及引导改造。
(2) 支架 增加推移液压缸安全阀,工作面上下端头处分别安装电缆吊挂装置,增设推移液压缸锁和安全阀防护罩,增设回风巷超前支架电缆托架,增设排头架电缆自动升降装置。
(3) 液压系统过滤方案 对液压系统水源进行二次过滤。通过二次过滤优化水质后,整个工作面回采过程中仅更换了 1 个滤芯,且电液控制系统的故障率也大幅下降,仅为 3% 左右,节约配件更换费用超过 30 万元。
3 应用效果分析
将 1308 智能化采煤工作面与普通采煤工作面在吨煤电能消耗、截割效率、反渗透用水量、人员数量和维修费等方面进行对比可知,智能化采煤在电能消耗、材料消耗和减员控制方面具有明显优势。
(1) 吨煤能耗 对相同条件下的智能化采煤工作面和普通采煤工作面的能源消耗情况进行对比,1308工作面平均吨煤电耗为 2.59 kW·h,普通工作面平均吨煤电耗为 2.81 kW·h,智能化采煤工作面能耗降低7.8%。
(2) 截割效率 2022 年 5 月 1 日—5 月 30 日,1308 工作面和 1306 工作面 (普通工作面) 的 4 点班割煤情况如图 2 所示。1308 工作面和 1306 工作面切眼长度分别为 258 和 240 m,割煤高度平均为 3.17 和3.44 m,2 个工作面采用相同的进刀与截割工艺。经统计,1308 工作面和 1306 工作面单班月均截割刀数分别为 10.41 和 9.39 刀。智能化采煤工作面与普通工作面相比,单班截割效率提升 9.8%。
图2 截割刀数对比
(3) 反渗透用水量 2023 年 3—6 月,对智能化采煤工作面和普通工作面反渗透冲洗耗水量进行比较。智能化采煤工作面反渗透冲洗耗水量平均为 364.26 m3,普通工作面平均为 683.3 m3,如图3 所示,智能化采煤工作面反渗透冲洗耗水量下降46.69%。
图3 反渗透冲洗水量消耗对比
(4) 人员数量 智能化采煤工作面生产班平均出勤 10 人,遇紧密褶皱或断层构造情况下平均出勤 13人,检修班平均出勤 24 人;普通工作面生产班平均出勤 17 人,检修班平均出勤 31 人。对比可知生产班和检修班各减少 5 人和 7 人。
(5) 维修费 2022 年 3—6 月,智能化采煤工作面的维修费总计 45.12 万,平均 11.28 万元/月;普通工作面的维修费总计 105.04 万元,平均 26.26 万元/月。与普通工作面相比,智能化采煤工作面维修费用减少14.99 万元/月,下降 57.06%。维修费用对比如表 3所列。
表3 维修费用对比
4 智能化采煤工作面技术难题
智能化采煤工作面能够实现减人增效,但是实际生产过程中仍由许多问题需要解决。例如,由于地质条件的变化,工作面每次进刀的截割工艺都有细微变化,特别是在遇到断层、褶曲等地质构造期间,无法实现记忆截割和自动跟机移架;刮板输送机调整时,智能采煤系统在超前割煤位置判断上出现问题,无法作出针对顶板漏煤、防咬架等防御性动作,需要进行额外的人工干预等。因此,真正做到智慧采煤还需要提高采煤智能分析系统的“思考”能力,能够针对不同的情况开展自我学习与分析,并独立作出正确决策,同时,系统还要求能够准确诊断各模块出现的问题以及假异常。目前而言,智能化回采在煤岩识别、采煤机三维定位及采面自动找直等方面仍存在很多不足,无法真正实现智能化回采,今后需要进一步研究。
5 结语
针对 1308 智能化采煤工作面,设置刮板输送机和转载机的联动变频调速评价指标,设计了 3 种变频调速方案,通过试验,对生产效率及吨煤电能消耗进行计算,确定最优方案。通过对智能化采煤工艺进行分析,并开展回采试验,得出了能够兼顾工程质量和人员投入的采煤工艺,有针对性地对采煤设备进行改造,提高了智能化采煤工作面的生产效率和稳定性。采集智能化采煤工作面和普通工作面在吨煤电能消耗、截割效率、反渗透用水量、人员数量和维修费等数据,得出智能化采煤在电能消耗、材料消耗和减员控制方面具有明显优势的结论。
